Bine ai venit
guest
User:
Pass:
[Creare cont]
[Am uitat parola]
iBac
bac 2007 M1-2
Teze unice
Teste naţionale '07
Admitere liceu
Forum
Probleme
Main [+/-]
HOME
Condiţii legale
Despre noi
Instrucţiuni
Contact
iBac
= materialul ULTRACOMPLET de pregătire pentru bac la mate. Dacă vrei
poţi
.
iBac
»
Programa MT1 (M11, 2007)
»
Varianta 51
» Subiectul II.2
-- Total probleme:
1
[1]
Enunţuri
Opţiuni
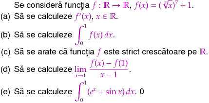
sursa: [bac2007, M11, sub. 22, v. 51, ex. 1]
iBac
»
Analiza matematica
»
Probleme de sinteza de analiza
»
Analiza matematica
Programa:
© 2007, 2008, 2009, 2010 P
ro
-Didactica.
ρ