Bine ai venit
guest
User:
Pass:
[Creare cont]
[Am uitat parola]
iBac
bac 2007 M1-2
Teze unice
Teste naţionale '07
Admitere liceu
Forum
Probleme
Main [+/-]
HOME
Condiţii legale
Despre noi
Instrucţiuni
Contact
iBac
= materialul ULTRACOMPLET de pregătire pentru bac la mate. Dacă vrei
poţi
.
iBac
»
Programa MT1 (M11, 2007)
»
Varianta 84
-- Total probleme:
14
[Prima pagină]
«
[1]
[2]
[3]
»
[Ultima pagină]
Enunţuri
Opţiuni
sursa: [bac2007, M11, sub. 21, v. 84, ex. 1]
iBac
»
Algebra
»
Siruri
»
Progresii geometrice
Programa:
sursa: [bac2007, M11, sub. 22, v. 84, ex. 1]
iBac
»
Analiza matematica
»
Probleme de sinteza de analiza
»
Analiza matematica
Programa:
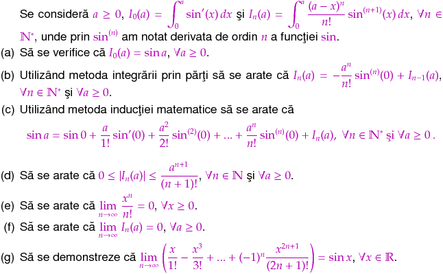
sursa: [bac2007, M11, sub. 4, v. 84, ex. 1]
iBac
»
Analiza matematica
»
Probleme de sinteza de analiza
»
Analiza matematica
Programa:
sursa: [bac2007, M11, sub. 1, v. 84, ex. 2]
iBac
»
Geometrie
»
Geometrie analitica
»
Distanta de la un punct la un plan
Programa:
sursa: [bac2007, M11, sub. 1, v. 84, ex. 4]
iBac
»
Geometrie
»
Geometrie analitica
»
Dreapta si planul in spatiu. Paralelism, perpendicularitate
Programa:
sursa: [bac2007, M11, sub. 1, v. 84, ex. 3]
iBac
»
Geometrie
»
Geometrie analitica
»
Elipsa
Programa:
© 2007, 2008, 2009, 2010 P
ro
-Didactica.
ρ